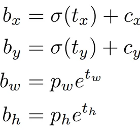
IT/Paper 썸네일형 리스트형 [Deeplearning] Yolov3: An Incremental Improvement 이번 포스팅은 Yolo v3 논문에 대해서 리뷰하도록 하겠습니다. 1. The Deal YOLO v3는 다른 사람들의 아이디어들을 차용한 내용입니다. 1-1. Bounding Box Prediction YOLO 9000에서의 Box coordinate prediction은 다음과 같은 방식으로 계산됩니다. 기존의 YOLO 9000은 Anchor Box와 Reference Center Point의 Shift값인 을 예측하고, 값을 구해서 L2 LOSS를 통해서 학습을 시켰는데, 이에 대한 컨셉을 변경해서 위의 기존 식을 inverse해서 다이렉트로 값들의 L1 LOSS값을 구하겠다고 합니다. 아마 아래와 같은 방식으로 기존의 BOX GT를 inverse해서 L1 LOSS를 구해서 학습을 진행한 것 같습니다.. 더보기 [Deeplearning] BinaryConnect: Training Deep Neural Networks with binary weights during propagations 이번 포스팅은 해용님과 진행한 BinaryConnect에 대한 논문을 리뷰하려고 합니다. 논문BinaryConnect: Training Deep Neural Networks with binary weights during propagations 구현체BinaryConnect 읽다보니까 BinaryConnect는 weights만 quantization을 수행하지만, Binarized Neural Network는 weight와 activation을 둘다 quantization하는 논문이고, 이전에 했던 포스팅인 Binarized Neural Network 논문 저자와 같아서 BinaryConnect 논문의 후속이 Binarized Neural Network라는 인상이 강하게 들었습니다. 덕분에 논문 읽는데 .. 더보기 [Deeplearning] YOLO9000: Better, Faster, Stronger 이번 포스팅은 YOLO9000: Better, Faster, Stronger (YOLO v2)에 대한 논문을 리뷰하도록 하겠습니다.전에 정리한 적이 있는데, 발표를 해야하는 상황이 왔었는데 죄다 까먹어서... 다시 정리하는 겸 복습해보려고 합니다.아래에는 YOLO 9000의 구현체와 이해를 더 도울 수 있는 참고 영상을 첨부합니다. 구현체(Implementation)Darknet 논문 리뷰 참고 영상PR-23 :: YOLO 9000: Better, Faster, Stronger1. Introduction Object Detection 데이터 셋들은 Classification 등의 데이터 셋과 비교하면 너무 제한적이다. 일반적으로 detection을 위한 dataset은 수십 ~ 수백개의 클래스를 포함한 .. 더보기 [Deeplearning] OverFeat: Integrated Recognition, Localization and Detection using Convolutional Networks Deeplearning기반 Object Detection System에 주류가되는 알고리즘들은 컨셉적으로 다 알고 있다고 생각했었는데, 막상 여러가지 이유로 논문을 다시 보게 되니까 제가 이해하고 있던 부분들이 많이 틀렸다는 것을 알게되었습니다. 그래서 이번 포스팅은 Object Detection 논문 중, OverFeat이라는 논문을 리뷰하도록 하겠습니다. 시작하기 전에, Object Detection 시스템에 대한 개략적인 이해는 알고있다는 가정을 하고 진행하도록 하겠습니다. 1. Classification1-1. Model Design and Training ImageNet 2012 데이터셋을 사용(1.2 million images and Class = 1,000 classes)고정된 입력데이터 사.. 더보기 [Deeplearning] Binarized Neural Networks: Training Neural Networks with Weights and Activations Constrained to +1 to -1 [1] 정말 오랜만에 블로그 포스팅을 진행하는 거 같습니다. 최근 서강대학교의 권해용님과 YOLO Darknet의 코드 리뷰를 진행하고 나서, Binary Neural Network에 대해서 공부하고 있습니다. 너무 오랫동안 기록 없이 스터디만 진행해왔고, 최근 너무 방대한 내용들이 기록되지 않은 상태로 남아있어서 이제 슬슬 기록을 진행해볼까 합니다. 이번 포스팅은 [Binarized Neural Networks: Training Neural Networks with Weights and Activations Constrained to +1 to -1:: https://arxiv.org/pdf/1602.02830.pdf] 에 대해서 논문 리뷰를 진행하도록 하겠습니다. Binary Neural Network의 구.. 더보기 LooseCut: Interactive Image Segmentation with Loosely Bounded Boxes abstract 이미지에 있는 관심있는 object를 interactive하게 segment하는 기본적으로 사용되는 방법은 객체를 포함하는 상자를 만들고 binary labeling을 지정하는 것입니다. 하지만 이러한 interactive하게 이미지 segment하는 기존 알고리즘은 객체에 밀착해서 객체를 포함하는 상자를 만드는 방법을 선호합니다. 이러한 방법은 객체를 포함하는 상자를 만드는것에 대해서 부담을 주고, 다른 object detecting 알고리즘으로 검출한 boundery box를 사용하는 것에 대해서 제한사항을 주게됩니다. 본 논문에서는 boundery box가 느슨하게 잡히더라도 object segment를 잘할 수 있는 새로운 LooseCut 알고리즘을 제안합니다. 우리는 느슨한 박스.. 더보기 [Deeplearning] YOLO!, You Only Look Once : Unified, Real-Time object Detection 안녕하세요~ 최근에 Image detection과 관련된 공부를 하고 있습니다. 그래서 제가 공부하는데 이해도를 높이기 위해 Image detection과 관련된 신경망 중에 실시간 이미지 객체 탐지 및 인식에 강력하다라고 소문이 나있는 YOLO에 관련한 논문을 번역해보려고 합니다. 항상 논문 번역이라는게 그렇듯이 제가 잘못 이해해서 번역이 잘못된 부분이 있다면 언제든지 지적해주시면 감사하겠습니다. 1. Abstract 우리는 object detection에 있어서 새로운 접근법인 YOLO를 소개합니다. object detection은 사전 작업으로 detection을 먼저 수행합니다. 여기서 우리는 object detection을 공간적으로 분리된 bounding box들과 class(분류할 objec.. 더보기 [Deep learning] GAN!, Generative Adversarial Nets - Ian J. Goodfellow 이번 포스팅은 GANs 관한 논문을 한편 번역하겠습니다. 의역이 있을 수 있으니, 문제가 되는 부분이 보이면 언제든지 알려주시면 감사하겠습니다. 1. Abstract 우리는 adversarial process(경쟁하는 과정)를 통해 generative model(생성자)을 추정하는 새로운 프레임워크를 제안합니다. 해당 프레임워크는 동시에 두 가지 모델을 학습합니다. 두 가지 모델은 training 데이터의 분포를 모사하는 generative model(생성모델) G, 입력된 G에서 나온 데이터가 아닌, 실제 training 데이터에서 나온 데이터 일 것이라고 확률을 추정하는 discriminative model(판별자) D입니다. G를 학습하는 과정은 D가 실수할 확률을 최대치로 올리게 만드는 것입니다... 더보기 [Deep Learning] Understanding the difficulty of training deep feedforward neural networks 이번 포스팅은 Xavier Glorot, Yoshua Bengio의 Understanding the difficulty of training deep feedforward neural networks을 번역합니다. 의역하는 부분이 있기 때문에, 읽어보시고 내용이 이상하다 싶으면 언제든지 말씀해주시면 감사하겠습니다. 1. Abstract 2006년 이전에는 Deep neural network이 성공적으로 훈련되지 않은 것으로 보였습니다. 그 이후, 몇몇의 알고리즘은 심층적이지 않은 구조에 비해서 심층적인 구조가 더 뛰어나다는 실험적인 결과와 함께 Deep neural network을 성공적으로 훈련하는 것을 보였습니다. 이러한 모든 실험 결과는 새로운 초기화나, 교육 메카니즘을 통해서 얻어졌습니다. 여기서.. 더보기 이전 1 다음